ch4 非参数估计
总览
- Parzen窗口估计
- KNN估计
对于一些后验概率的概率分布中没有参数,这种情况就得让数据自己说话,也就是非参数估计。
Parzen窗口估计
目标
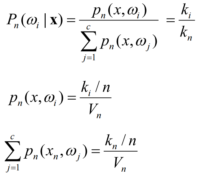
- 估计类条件概率密度
- 估计后验概率
密度估计
一个向量

假设

K个样本落入区域遵循二项分布:

数学期望:

结合上边两个式子可以得出

用

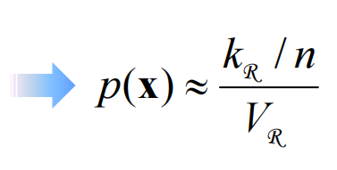
使用n作为下标(核心公式):

我们希望:

为了实现逼近,需要:

固定Vn计算kn,即为Parzen窗口估计的核心。Rn是一个d维的超立方体,其边长为hn,Vn实际上是“测度”,计算方式是:

窗函数
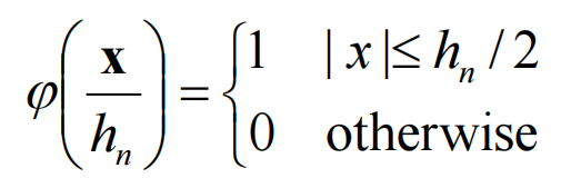
通过定义如下的窗函数,得到落在窗中的样本数:
定义了一个d维空间中,中心点在原点边长为1的超立方体。

如果是边长为hn的超立方体,则:

中心点不在原点则:

这里的函数值1表示落入了超立方体中。
kn:落在超立方体的总样本数。

与上文的核心公式结合获得Parzen概率分布函数:

其中

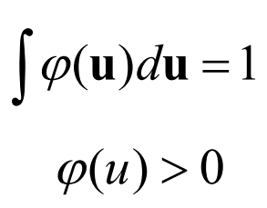
根据窗函数

为了保证收敛,需满足:

还有额外限制:

Vn在n趋近正无穷的时候需要收敛到0,但是收敛速度不能比1/n快,我们选择:

如此,初始值V1的选取很重要。
KNN估计
同样使用上文核心公式,但是固定kn然后决定Vn。为了保证收敛,同样有选取要求:

对于KNN,有


KNN分类技术
闵可夫斯基距离

- n=1,曼哈顿距离
- n=2,欧氏距离
- n趋向无穷,切比雪夫距离
余弦相似度/余弦距离
略
K近邻算法

- 给定输入实例
- 选择合适的距离公式
- 算出该实例与所有已知实例的距离
- 根据算出的距离,找出与输入实例距离最小的K个已知实例(K一般是奇数,K = 1时为最近邻算法)
- 做分类:一般是多数表决,即由输入实例的k个邻近的的多数类决定输入实例的类。
特点
懒学习(不给测试机不学)
优点
- 原理简单
- 可解释性强
- 参数只有K
- 无需训练过程
缺点
- 储存消耗
- 计算开销
- K值不好确定
- 不好找到一个合适的距离公式
- 不相关的特征和噪声可能会非常有害